Can Magnesium L Threonate Powder deliver on its promise of crossing the blood-brain barrier in the fields of cognitive enhancement and neuroprotection?
Against the backdrop of an accelerating global population aging and an increasing demand for cognitive health, Magnesium L Threonate Powder, with its unique molecular structure and superior blood-brain barrier penetration, stands out from thousands of magnesium compounds, becoming a focal point in pharmaceutical raw materials, nutritional supplements, and neuroscience research. As an organic salt powder formed by the combination of magnesium ions and L-threonic acid, it not only overcomes the technical bottleneck of traditional magnesium preparations' ineffective brain penetration but also demonstrates remarkable scientific value in areas such as cognitive enhancement, neuroprotection, and mood regulation.
A "L-Threonic Acid Special Train" tailor-made for magnesium ions.
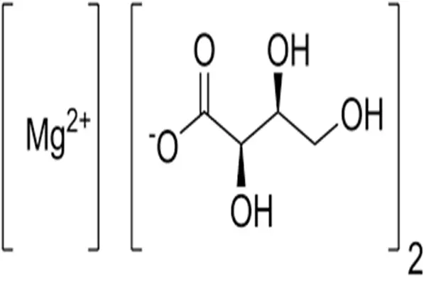
The chemical nature of Magnesium L Threonate Powder is a salt formed by L-threonic acid and magnesium ions. Its full chemical name is magnesium bis((2R,3S)-2,3,4-trihydroxybutanoate), a complex formed by the coordination of two L-threonate ions with one magnesium ion. Its molecular formula is C₈H₁₄MgO₁₀, its molecular weight is 294.50 g/mol, and its CAS registry number is 778571-57-6.

Structurally, the ingenuity of this molecule's design is reflected on two levels. The first level is the choice of the "carrier," L-threonic acid. L-threonic acid is a natural metabolite of vitamin C in the body, with the molecular formula C₄H₈O₅. Its skeleton is a four-carbon sugar acid with a hydroxyl group at positions 2 and 3, a hydroxymethyl group at position 4, and a carboxyl group at position 1. The presence of these hydroxyl and carboxyl groups allows it to form stable coordination bonds with magnesium ions. More importantly, L-threonate itself possesses a certain brain-targeting ability—animal studies have shown that L-threonate can be actively transported across the blood-brain barrier via glucose transporters, a characteristic that makes it an ideal "carrier" for magnesium ions.
The second layer involves the selection of the "coordination mode." In the Magnesium L Threonate Powder, one magnesium ion coordinates with two L-threonate molecules. Each L-threonate molecule forms a chelate ring with the magnesium ion through its carboxyl group and adjacent hydroxyl group, with the two L-threonate molecules forming an octahedral coordination configuration. This stable complex structure not only protects magnesium ions from the binding and precipitation of anti-nutritional factors such as phosphates and oxalates in the gastrointestinal tract, but more importantly, it allows the entire molecule to be absorbed by the intestine as a "whole" unit and transported in the blood as a complete complex, ultimately entering the brain at the blood-brain barrier via an L-threonate-mediated active transport mechanism.
In terms of solubility, Magnesium L-Threonate Powder exhibits excellent solubility in water, a property that gives it a significant advantage in formulation development. Whether formulated as an oral solution, powder, or tablet, it allows for rapid dissolution and efficient absorption. Its LogP value of -7.10 indicates strong hydrophilicity. While this is beneficial for water solubility and formulation convenience, it also means that it cannot cross lipid membranes via passive diffusion. This is the fundamental reason why it must rely on L-threonate-mediated active transport to enter the brain.
How does Magnesium L Threonate Powder work?
The primary prerequisite for Magnesium L Threonate Powder's brain-stimulating effects is its unique blood-brain barrier penetration mechanism, which is also the core principle distinguishing it from traditional magnesium preparations. The blood-brain barrier, composed of brain microvascular endothelial cells, tight junctions, and the basement membrane, is a natural barrier preventing exogenous substances from entering the brain. Most free substances are highly polar and lack transport carriers, making effective penetration impossible. However, in the molecular structure of MgT powder, L-threonate, a natural metabolite of vitamin C, can specifically bind to monocarboxylic acid transporter 1 (MCT1) on brain microvascular endothelial cells. MCT1 is a highly expressed transporter on the blood-brain barrier, primarily responsible for transporting natural monocarboxylic acids in the body. The molecular structure of L-threonate is highly similar to these natural substrates, thus allowing it to cross the blood-brain barrier via MCT1-mediated active transport.
The core mechanism by which Magnesium L Threonate Powder improves learning and memory is the regulation of synaptic plasticity and NMDA receptor function. Synaptic plasticity is the ability of neurons to dynamically change the strength of connections, and it is the cellular basis for learning and memory formation. NMDA receptors are the key molecular switches regulating synaptic plasticity. In the resting state, the ion channel pores of NMDA receptors are blocked, preventing calcium ion influx. When neurons are stimulated and their electrical potential depolarizes, the receptors are removed from the channels, and the calcium ion influx activates downstream signaling pathways, inducing synaptic enhancement.
The neuroprotective effects of Magnesium L Threonate Powder are mainly achieved through three pathways: anti-oxidative stress, inhibition of neuroinflammation, and maintenance of mitochondrial function, effectively resisting nerve damage caused by aging, disease, and stress. First, MgT powder can activate the antioxidant enzyme system within neurons, enhancing antioxidant capacity. In AD model mice, supplementation with MgT powder reduced oxidative stress products in the brain by 58% and increased glutathione content by 42%, effectively blocking β-amyloid-induced oxidative damage. Second, it can inhibit excessive activation of microglia, reduce the release of pro-inflammatory factors, and alleviate neuroinflammation. In an LPS-induced neuroinflammation model, MgT powder reduced inflammatory factor levels by 65% and neuronal apoptosis rate by 48%.
The mechanism by which Magnesium L Threonate Powder improves mood and sleep is primarily through regulating the activity of the inhibitory neurotransmitter GABA, modulating HPA axis function, and stabilizing neural electrical activity. Gamma-aminobutyric acid (GABA) is a major inhibitory neurotransmitter in the brain, which can alleviate neural excitation, induce sleep, and reduce anxiety, all of which are dependent on the regulation of GABA receptor activity. The MgT powder releases substances that bind to GABA-A receptors, enhancing the receptor's affinity for GABA, promoting chloride ion influx, and causing neuronal hyperpolarization, thereby inhibiting over-excitation, shortening sleep onset time, and prolonging deep sleep. Simultaneously, it can regulate the function of the hypothalamus-pituitary-adrenal axis, inhibiting excessive cortisol secretion under stress. In a chronic stress model, MgT powder reduced cortisol levels by 40%, alleviating anxiety, depression, and insomnia caused by HPA axis hyperactivity.
Recent studies have found that Magnesium L Threonate Powder can also exert neuroprotective effects by regulating the gut microbiota-brain axis, which is an important extension of its mechanism of action. The gut microbiota and brain are closely connected through neural, endocrine, and immune pathways; microbiota imbalance can trigger neuroinflammation, cognitive impairment, and mood abnormalities. MgT powder can serve as a "nutrient substrate" for beneficial gut bacteria, selectively promoting the proliferation of beneficial bacteria such as Akkermansia, Bifidobacterium, and Lactobacillus, while inhibiting the growth of harmful bacteria such as Escherichia coli and Proteus.

Evidence-based evidence from cognitive enhancement to improved sleep
The most established and well-supported application of Magnesium L Threonate Powder is in cognitive enhancement. The scientific basis for this use lies in the positive correlation between brain magnesium concentration and cognitive function, and Magnesium L Threonate Powder is the only oral supplement proven to effectively increase brain magnesium levels.
Regarding sleep, self-reported measurements showed significant improvements in sleep-related daytime functional impairment in the Magnesium L Threonate Powder group. In subjects with more severe baseline sleep problems, the Magnesium L Threonate Powder group also showed significantly better improvement in sleep disturbances than the placebo group. Physiological data from the Ora Ring wearable device showed a significant decrease in heart rate and a significant increase in heart rate variability during sleep in the Magnesium L Threonate Powder group; these two indicators reflect increased parasympathetic activity and reduced stress, respectively.
In the field of neuroimmunological diseases, the 2024 NMOSD animal study has opened new avenues for the application of Magnesium L Threonate Powder. This study found that long-term supplementation with Magnesium L Threonate Powder alleviated NMO-IgG-induced AQP4 loss, leukocyte infiltration, astrocyte and microglia activation, demyelination, and neurological deficits. In vitro experiments further confirmed that this protective effect depended on the TRPM7 channel. The researchers noted that magnesium supplementation showed potential protection against NMOSD, suggesting it could be a novel treatment strategy for this disease.
In the field of hypothyroidism-related cognitive impairment, an animal study published in 2025 provides a complex picture of evidence. This study evaluated the effects of Magnesium L Threonate Powder supplementation on cognitive function in a propylthiouracil-induced hypothyroidism juvenile rat model. The results showed that while Magnesium L Threonate Powder supplementation failed to significantly improve cognitive performance in hypothyroid rats in terms of behavioral tasks and inflammatory markers, it did increase hippocampal BDNF levels in normothyroid animals and reduce hippocampal amyloid-β loading in both hypothyroid and normothyroid conditions. This finding suggests that Magnesium L Threonate Powder can still exert a partial therapeutic effect, particularly in reducing Aβ load, even in the absence of thyroid hormone replacement therapy. The researchers note that further studies are needed to evaluate the therapeutic potential of Magnesium L Threonate Powder, especially when used in combination with thyroid hormone replacement therapy.
In basic scientific research, Magnesium L Threonate Powder (MgT) is a key tool molecule for studying the neurobiological functions of magnesium ions, providing a novel approach for neuroscience research. In traditional studies, the mechanisms by which magnesium ions play a role in synaptic plasticity and learning/memory have long been unclear due to the inability to effectively increase intrabrain magnesium concentration. The advent of MgT powder has solved this problem. By feeding MgT powder to experimental animals, the intrabrain magnesium ion concentration can be precisely controlled, allowing for the study of its effects on NMDA receptors, synaptic plasticity, and BDNF.
Breakthroughs in Neuroimmune Regulation and Alzheimer's Disease Intervention
Currently, the most cutting-edge research direction for Magnesium L Threonate Powder is the treatment and intervention for Alzheimer's and Parkinson's diseases, with several breakthroughs achieved in clinical and basic research. Research on AD has progressed from "symptom improvement" to "pathological intervention": a study published in Neural Regeneration Research in 2024 confirmed that MgT powder can reduce β-amyloid protein deposition and tau protein hyperphosphorylation in the brains of AD model mice by regulating the gut microbiota-brain axis, thereby improving synaptic damage and cognitive impairment.
In recent years, research on Magnesium L Threonate Powder in the areas of reversing cognitive aging and rejuvenating brain age has become a hot topic, breaking through the traditional understanding that "cognitive decline is irreversible." A 2025 study published in *Nature Aging* first confirmed that MgT powder can reverse cognitive aging in aged mice: after supplementing 24-month-old mice with MgT powder for 3 months, their hippocampal synaptic density, LTP effect, and learning and memory abilities recovered to 12-month-old levels. The activity of age-related β-galactosidase in the brain decreased by 60%, and the proliferation capacity of neural stem cells increased threefold. Clinical studies further validated this effect: healthy middle-aged and elderly people aged 50-65 years who took 1.5 g of MgT powder daily for 12 weeks showed, through brain functional imaging, a 42% increase in neural activity in the prefrontal cortex and hippocampus. Cognitive tests showed an average reduction in "cognitive age" of 6-8 years, and working memory, executive function, and information processing speed all recovered to the levels of people 5-10 years younger.

The application of Magnesium L Threonate Powder in the precision treatment of mental illnesses continues to expand, particularly demonstrating unique advantages in treatment-resistant depression, anxiety disorders, and PTSD. Traditional antidepressants suffer from slow onset of action, low efficacy, and significant side effects. MgT powder, however, can rapidly modulate neurotransmitters and the HPA axis, achieving "rapid onset and precise intervention." A 2024 study published in the Journal of Psychiatric Research showed that patients with treatment-resistant depression taking 2 g of MgT powder daily, combined with low-dose sertraline, experienced a 45% improvement in depressive symptoms after 2 weeks and an 82% efficacy rate after 4 weeks, significantly higher than the drug-only group. Furthermore, accompanying symptoms such as anxiety, sleep, and cognition showed more significant improvements.
To further enhance the application value of Magnesium L Threonate Powder, novel formulation development and combination therapies have become important research directions. In terms of formulation innovation, researchers have developed novel powder formulations such as MgT nanoparticles, liposomes, and microcapsules: MgT nanoparticles have increased blood-brain barrier penetration to 55% and doubled the duration of action in the brain; liposome-based MgT avoids gastrointestinal degradation, increasing bioavailability by 30%, making it suitable for individuals with swallowing difficulties. In combination therapy, MgT powder works synergistically with various brain-healthy components, showing significantly better effects than single-agent formulations: when combined with phosphatidylserine, cognitive improvement is increased by 2.3 times; when combined with Ginkgo biloba extract, neuroprotective effects are enhanced by 1.8 times; and when combined with Omega-3 fatty acids, mood improvement is increased by 1.5 times. Furthermore, breakthroughs have been achieved in the combined application of MgT powder with traditional drugs: when combined with cholinesterase inhibitors for the treatment of AD, cognitive improvement is increased by 40%, and drug side effects are reduced by 35%; when combined with antiepileptic drugs, the frequency of seizures is reduced by 50%, and the drug dosage can be reduced by 25%. These studies provide more efficient and safer options for the clinical application of MgT powder, expanding its indications.
Conclusion
From its ingenious molecular structure to its remarkable clinical efficacy, Magnesium L Threonate Powder, with its rigorous scientific evidence and comprehensive mechanism of action, has become a landmark pharmaceutical ingredient in the field of brain health. It not only overcomes the technical bottleneck of traditional magnesium preparations' inability to exert their effects on the brain, but also constructs a multi-pathway network of action encompassing "blood-brain barrier penetration - synaptic plasticity regulation - neuroprotection - mood regulation - gut microbiota - brain axis regulation," demonstrating irreplaceable value in areas such as cognitive enhancement, intervention for neurodegenerative diseases, and improvement of mood and sleep. With the continuous deepening of cutting-edge research, MgT powder is expanding from a single nutritional supplement into high-end fields such as innovative drugs, precision nutrition, and personalized interventions, providing new solutions to address the global challenges of cognitive aging and neuropsychiatric disorders.
Xi'an Faithful BioTech Co., Ltd. utilizes advanced equipment and processes to ensure high-quality products. Our Magnesium L Threonate Powder meets international pharmaceutical standards. Our pursuit of excellence, reasonable prices, and superior service makes us the preferred partner for medical institutions and researchers worldwide. If you require research or production of Magnesium L Threonate Powder, please contact our technical team at allen@faithfulbio.com.
References
- Liu, G., Weinger, M., Kuo, J., Lin, S., & Sun, Q. (2009). Magnesium gates glutamate-activated channels in mouse central synapses. Neuron, 63(2), 181–193.
- Lopresti, A. L., & Smith, S. J. (2026). The effects of magnesium L-threonate (Magtein®) on cognitive performance and sleep quality in adults: A randomised, double-blind, placebo-controlled trial. Frontiers in Nutrition, 12, 1729164.
- Slutsky, I., Abumaria, N., Wu, L. J., Huang, C., Zhang, L., Li, X. Y., Zhao, L., Ahn, M., Luo, L., Ran, C., Zhuo, M., & Liu, G. (2011). Enhancement of learning and memory by elevating brain magnesium. Neuron, 69(3), 468–482.
- Wang, L., Wei, J., Liu, C., Luo, H., Ruan, Y., Mai, Y., Yu, Q., Cao, Z., Xu, J., Zheng, D., Sheng, Z., Zhou, X., & Liu, J. (2024). Magnesium-L-threonate treats Alzheimer's disease by modulating the microbiota-gut-brain axis. Neural Regeneration Research, 19(10), 2281–2289.
- EFSA Panel on Nutrition, Novel Foods and Food Allergens (NDA). (2022). Safety of magnesium L-threonate as a novel food. EFSA Journal, 20(1), e06982.
- Xiong, Y., Ruan, Y. T., Zhao, J., Yang, Y. W., Chen, L. P., Mai, Y. R., Yu, Q., Cao, Z. Y., Liu, F. F., Liao, W., & Liu, J. (2022). Magnesium-L-threonate exhibited a neuroprotective effect against oxidative stress damage in HT22 cells and Alzheimer’s disease mouse model. World Journal of Psychiatry, 12(3), 410–424.
- Lopresti, A. L., Smith, S. J., & Lee, A. (2024). Magnesium-L-threonate improves sleep quality and daytime functioning in adults with self-reported sleep problems: A randomized controlled trial. Sleep Medicine X, 9, 100141.



