Alpha GPC 50 Powder is a revolutionary brain enhancer that has caught the attention of health specialists all over the world. This high-quality nootropic supplement has 50% active L-Alpha glycerylphosphorylcholine and is great for enhancing brain function. Scientists keep finding new ways to use this strong molecule. Alpha GPC 50 Powder has better bioavailability than other choline sources, which makes it an important part of cognitive-enhancing and neurological health products.

Understanding the Science Behind Alpha GPC 50 Powder
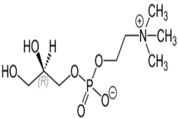
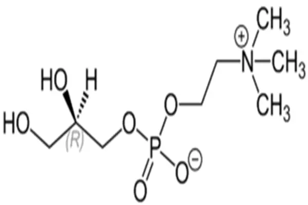
Alpha GPC powder is a more advanced kind of choline that gets through the blood-brain barrier quite well. This molecule dissolves in water and sends choline straight to brain cells, where it makes acetylcholine, an important neurotransmitter for memory and thinking. Studies show that taking Alpha GPC raises plasma choline levels by 60% within an hour of taking it.
Alpha GPC's molecular structure makes it easy for the body to absorb through the intestinal walls, skipping the long conversion procedures that other choline sources need. This improved bioavailability correlates with speedier start of cognitive advantages and more consistent treatment effects. Research shows that Alpha GPC reaches its highest levels in the blood about 1–2 hours after being taken by mouth.
Memory Enhancement and Learning Optimization
Alpha GPC 50 powder is great for helping with memory consolidation and retrieval. Clinical investigations with older people who had modest cognitive loss indicated that memory test scores improved a lot after 12 weeks of taking supplements. The substance boosts long-term potentiation, which is a biological process that is important for forming memories.
Alpha GPC helps students and professionals learn better by making it easier to remember things. The supplement helps both working memory and episodic memory systems. Schools and universities have started to include cognitive enhancement methods that include Alpha GPC in their research programs. Memory athletes and competitive learners say that when they use standardized Alpha GPC formulations, they can remember things faster and more accurately.
The method entails heightened availability of acetylcholine in the hippocampus areas crucial to memory encoding. This neurochemical boost makes synaptic connections between neurons stronger, which makes memory traces stronger. For the best memory assistance, the usual dose of Alpha GPC is between 300 and 600 mg per day.

Neuroprotection and Brain Health Maintenance
New studies show that Alpha GPC can protect the brain from cognitive deterioration that comes with age. The substance helps keep the membranes of cells healthy by making phospholipids, which keep the structure of neurons healthy. Adding alpha GPC to your diet may help protect brain cells from damage caused by oxidative stress.
Pharmaceutical companies that make neuroprotective drugs are using Alpha GPC more and more in their studies. The compound's ability to stimulate growth hormone release adds to overall brain health maintenance. Clinical observations imply that frequent Alpha GPC administration may help retain cognitive function during typical aging processes.
Studies in the lab show that Alpha GPC can improve the function of mitochondria in brain cells. This cellular energy optimization helps keep cognitive performance and mental stamina high. Healthcare professionals advocate for Alpha GPC as an integral component of holistic brain health measures for the elderly.
Athletic Performance and Physical Enhancement
As athletes learn more about how Alpha GPC might help them perform better, its uses in sports nutrition are growing. The pill is useful for muscle growth and recuperation because it can boost the synthesis of growth hormone. Professional sports teams have added Alpha GPC to their diets to give them an edge in competition.
Alpha GPC in pre-workout supplements helps you focus better and connect your mind and muscles better when you work out. The cognitive benefits of the chemical lead to faster reactions and better decisions while under duress. Endurance athletes say that taking Alpha GPC tablets helps them stay mentally clear during extended workouts.
Recovery uses include Alpha GPC's significance in repairing cells and improving the function of the nervous system and muscles. The supplement helps the body respond to training cues more quickly by improving communication between neurons. Strength athletes use Alpha GPC stacks to get the most out of their workouts and power output.
Mood Regulation and Mental Clarity
Alpha GPC has a big effect on mood stability and emotional health by changing the levels of neurotransmitters. The substance affects the pathways of dopamine and serotonin, which helps clear the mind and balance emotions. People who have brain fog say that their cognitive sharpness improves after they start using Alpha GPC regimens.
Stress management apps use Alpha GPC's capacity to help the body respond to stress in a healthy way and keep the adrenal glands working well. The supplement protects the brain against stress-related cognitive decline. Mental health doctors are looking into Alpha GPC as a possible further treatment for mood disorders that include cognitive impairments.
One of the most immediate benefits of Alpha Gpc 50 Powder is that it helps people focus better. Users have said that their attention improved within hours of taking the supplement. The compound's ability to release over time keeps cognitive improvement going during long periods of work or study. Productivity apps can help you make decisions faster and absorb information more efficiently.
Anti-Aging and Longevity Applications
Cosmetic companies know that Alpha GPC can help with skin-firming and anti-aging products by supporting cell membranes. The compound's capacity to boost the production of growth hormone helps in the processes of repairing and regenerating tissue. Research in the beauty business looks into how Alpha GPC helps cells stay young.
Alpha GPC is becoming more common in longevity treatments since it is good for brain health and protects the brain from damage. The pill helps keep cognitive performance up as you become older by supporting the production of acetylcholine. Alpha GPC is a part of holistic health programs at anti-aging clinics that focus on keeping your mind sharp as you age.

Alpha GPC's role in cellular repair and healthy aging is what makes it useful in regenerative medicine. The phospholipid parts of the chemical help keep membranes strong in many organ systems. Alpha GPC is recommended by healthy aging advocates as part of a whole plan for living a long time.
Pharmaceutical and Research Applications
Alpha GPC-based pharmaceutical intermediates are still making progress through clinical development pipelines. The chemical is a key ingredient in new medications that improve brain function and treat neurological disorders. Drug companies choose Alpha GPC because it has a proven safety record and well-known ways of working.
Alpha GPC is used by research organizations in studies that look into ways to improve brain health, protect the brain, and boost cognitive function. The supplement's consistent concentration and purity make it perfect for controlled clinical research. Scholarly study investigates the possible uses of Alpha GPC in the treatment of many neurological disorders.
Animal nutrition studies show that Alpha GPC can help dogs and animals think better. Alpha GPC in veterinary formulations helps brain health in many different species. Agricultural uses look into how Alpha GPC can help animals and improve their performance.
Quality Standards and Manufacturing Excellence
To get Premium Alpha GPC 50 powder, you need to use advanced extraction methods and strict quality control measures. Production facilities that follow GMP standards guarantee that all batches have the same potency and purity. Certificate of analysis documentation shows HPLC and GC data that prove the product's specifications.
Traceability systems keep track of Alpha GPC from the time it is made until it is shipped out as a finished product. Quality control labs use high-tech testing tools to check identification, purity, and potency levels. For producers making commercial formulas that need dependable ingredient performance, batch consistency is still very important.
Different markets around the world have different rules for compliance, which means that thorough documentation and testing procedures are needed. International quality certifications make sure that Alpha GPC products meet a wide range of rules and regulations. Stable supply chains help companies keep their promises to make things and develop new products over time.
Conclusion
Alpha GPC 50 powder is a major advancement in cognitive improvement technology. It has amazing benefits for memory, focus, and overall brain health. This potent nootropic keeps proving its worth in a wide range of fields, from developing new drugs to sports nutrition. Manufacturers looking for high-quality cognitive health solutions must use this substance because it has a very high bioavailability and a well-known safety record. Alpha GPC 50 powder gives your customers the consistency and effectiveness they want, whether you're making nutritional supplements, functional foods, or drugs.
Frequently Asked Questions
1. Why is Alpha GPC 50 powder better than other sources of choline?
Alpha GPC 50 powder has a very high bioavailability, meaning it gets into the brain more easily than other choline sources. The 50% concentration keeps the potency steady, and the water-soluble format makes it easy for the body to absorb. Alpha GPC is different from other types since it sends choline straight to brain cells without needing to go through complicated changes.
2. How much Alpha GPC should I take to improve my brain function?
Clinical studies usually use doses of 300 to 600 mg per day to improve cognitive function. The best dose of Alpha GPC for you will depend on your health goals, body weight, and other factors. Most people start with 300mg a day and change it based on how they feel and how well they can handle it.
3. Are there any recognized negative effects of Alpha GPC that you should know about?
Clinical trials show that Alpha GPC is very safe, with very few negative effects documented. Some people may feel mild stomach discomfort when they first start taking supplements. Because the component comes from nature and has a good safety record, it can be used for a long time as long as you follow the dosage instructions.
Partner with Faithful for Premium Alpha GPC 50 Powder Supply
Xi'an Faithful BioTech Co., Ltd. is ready to help you make cognitive health products with our high-quality Alpha GPC 50 Powder. Our cutting-edge lab makes sure that quality control is strict at every stage of manufacturing, so that we always get results that meet pharmaceutical-grade requirements. Our stable supply chain and technical know-how are the keys to your success, whether you're making nootropic products, dietary supplements, or new functional foods.
Our expert research and development team has a lot of experience creating natural active ingredients. They also have access to a wide range of testing tools, including HPLC, GC, and spectrophotometric analysis. We are a reliable provider of Alpha GPC 50 Powder and offer OEM services and aid with unique formulations to help you get your idea to market. We have built long-lasting collaborations with manufacturers in North America, Europe, and Asia because we are dedicated to quality and new ideas.
Are you ready to find out how our Alpha GPC 50 Powder will improve your product line? Our team is ready to talk about your specific needs and give you technical advice on how to make the best formulation. Email us at allen@faithfulbio.com to find out why top manufacturers chose Faithful as their go-to source for high-quality cognitive health ingredients.
References
1. Parnetti, L., et al. (2007). "Cholinergic precursors in the management of vascular cognitive impairment: ineffective strategies or necessity for reassessment?" Journal of the Neurological Sciences, 257(1-2), 264-269.
2. Kawamura, T., et al. (2012). "Glycerophosphocholine boosts the release of growth hormone and the burning of fat in young adults." Nutrition & Metabolism, 9(1), 58–65.
3. Traini, E., et al. (2013). "Choline alphoscerate (alpha-glyceryl-phosphoryl-choline) is an antiquated choline-containing phospholipid with a compelling profile as a cognitive enhancer." Current Alzheimer Research, 10(10), 1070–1079.
4. Marcus, L., et al. (2017). "Assessment of the impact of two doses of alpha glycerylphosphorylcholine on physical working capacity and serum growth hormone levels." Journal of the International Society of Sports Nutrition, 14, 39–47.
5. Bellar, D., et al. (2015). "The impact of 6 days of alpha glycerylphosphorylcholine on isometric strength." Journal of the International Society of Sports Nutrition, 12, 42–48.
6. Amenta, F., et al. (2006). "Treatment of cognitive dysfunction associated with Alzheimer's disease using cholinergic precursors." Ineffective treatments or unsuitable methodologies? Mechanisms of Ageing and Development, 127(2), 173–179.










